Железная анонимность, или изгоняем дьявола из адептов секты «Свидетели канаваса 7-го дня».

finista

Client
Регистрация
10.10.2012
Сообщения
378
Благодарностей
62
Баллы
28
Из области мистики, видел только видео из китая. Как телефон эмулируется физическим нажатием роботом по экрану т.е. айфон вполне можно так автоматизировать. Userator продвигал seo пикап, еще один элегантый способ (если там конечно все без химии).
 

russya

Client
Регистрация
08.07.2014
Сообщения
767
Благодарностей
84
Баллы
28
а можно как-то узнать, что вообще сайт собирает о тебе? каких данные запрашивает.
 

Konrod_m

Client
Регистрация
18.09.2014
Сообщения
1 808
Благодарностей
1 014
Баллы
113
Из области мистики, видел только видео из китая. Как телефон эмулируется физическим нажатием роботом по экрану т.е. айфон вполне можно так автоматизировать. Userator продвигал seo пикап, еще один элегантый способ (если там конечно все без химии).
мне кажется это прям не сложная задача.. или решаемая.. по сути экран в моменте - картинка. даже зеннопостер умеет определять нужная ли это картинка и давать команду шлепнуть по координатам.

вроде как даже где то видел детский конструктор подобный... что-то типа роботехники для начинающих.. а дальше уже полет фантазии
 

webposter

Client
Регистрация
17.06.2014
Сообщения
29
Благодарностей
4
Баллы
3
Если с максимально стандартного офисного компа в интернет ходим не через свисток, а через телефон, который раздает его нам через вай-фай - в этом случаем как-то больше палимся или меньше?

Допустим телефон на андроиде. Приложений от Яндекса нет. Гугл, к сожалению, мы оттуда никак не выкинем )
 

heks

Client
Регистрация
01.10.2013
Сообщения
1 624
Благодарностей
500
Баллы
113
может кто подскажет где список взять ANGLE (NVIDIA GeForce GT 630 Direct3D11 vs_5_0 ps_5_0
 
  • Спасибо
Реакции: evgenii2000

Roman*

Client
Регистрация
25.09.2013
Сообщения
1 665
Благодарностей
668
Баллы
113
У вас
instance.WebGLPreferences.Set(ZennoLab.InterfacesLibrary.Enums.Browser.WebGLPreference.UnmaskedRenderer, "Google Inc.");
instance.WebGLPreferences.Set(ZennoLab.InterfacesLibrary.Enums.Browser.WebGLPreference.UnmaskedVendor, "ANGLE (NVIDIA GeForce GT 630 Direct3D11 vs_5_0 ps_5_0)");
а зенка генерирует
instance.WebGLPreferences.Set(ZennoLab.InterfacesLibrary.Enums.Browser.WebGLPreference.UnmaskedRenderer, "ANGLE (NVIDIA GeForce GT 630 Direct3D11 vs_5_0 ps_5_0)");
instance.WebGLPreferences.Set(ZennoLab.InterfacesLibrary.Enums.Browser.WebGLPreference.UnmaskedVendor, "Google Inc.");
И GPT подсказывает, что в описании зенолаба ошибка https://help.zennolab.com/en/v7/zennoposter/7.1.4/topic725.html
Похоже, в описании методов содержится ошибка. Обычно параметр UnmaskedRenderer представляет собой информацию о графическом процессоре, а UnmaskedVendor относится к производителю. Вероятно, в описании методов произошла путаница, и значения UnmaskedRenderer и UnmaskedVendor были перепутаны местами.

Безусловно, для достоверности следует обратиться к официальной документации или поддержке Zennolab для уточнения правильного использования методов.
 
Последнее редактирование:
  • Спасибо
Реакции: Mikhail B.
Регистрация
04.09.2014
Сообщения
630
Благодарностей
907
Баллы
93
У вас
instance.WebGLPreferences.Set(ZennoLab.InterfacesLibrary.Enums.Browser.WebGLPreference.UnmaskedRenderer, "Google Inc.");
instance.WebGLPreferences.Set(ZennoLab.InterfacesLibrary.Enums.Browser.WebGLPreference.UnmaskedVendor, "ANGLE (NVIDIA GeForce GT 630 Direct3D11 vs_5_0 ps_5_0)");
а зенка генерирует
instance.WebGLPreferences.Set(ZennoLab.InterfacesLibrary.Enums.Browser.WebGLPreference.UnmaskedRenderer, "ANGLE (NVIDIA GeForce GT 630 Direct3D11 vs_5_0 ps_5_0)");
instance.WebGLPreferences.Set(ZennoLab.InterfacesLibrary.Enums.Browser.WebGLPreference.UnmaskedVendor, "Google Inc.");
И GPT подсказывает, что в описании зенолаба ошибка https://help.zennolab.com/en/v7/zennoposter/7.1.4/topic725.html
Похоже, в описании методов содержится ошибка. Обычно параметр UnmaskedRenderer представляет собой информацию о графическом процессоре, а UnmaskedVendor относится к производителю. Вероятно, в описании методов произошла путаница, и значения UnmaskedRenderer и UnmaskedVendor были перепутаны местами.

Безусловно, для достоверности следует обратиться к официальной документации или поддержке Zennolab для уточнения правильного использования методов.
На момент написания статьи методы были перепутаны самой Зенкой. Баг зарепортен год назад.
Как оно сейчас - да хз. В багфиксах не упоминалось. Наверное ,мало времени прошло.
 
  • Спасибо
Реакции: Roman*

FastSpace

Client
Read only
Регистрация
05.04.2018
Сообщения
665
Благодарностей
240
Баллы
43
На момент написания статьи методы были перепутаны самой Зенкой. Баг зарепортен год назад.
Как оно сейчас - да хз. В багфиксах не упоминалось. Наверное ,мало времени прошло.
Там WebGPU API теперь есть, спалить отсутствие видяхи или передачу фейковой стало еще проще.
 
Регистрация
04.09.2014
Сообщения
630
Благодарностей
907
Баллы
93

demiddima

Client
Регистрация
06.06.2023
Сообщения
32
Благодарностей
71
Баллы
18
Ввиду возникающих новых методик детекта, лично я реально не понимаю, почему тот же Яндекс тупо не побанит всех любителей покрутить ПФ, не отличающихся технологической продвинутостью, к такой-то матери.
А тут всё просто. Показатели, цифры для внутренних и публичных отчётов. Прежде чем научились детектить всё и вся, все показатели считались с условием ботов, которых не получилось выявлять. На глаз наверное убавляли немного цифр и всё. И тут есть интересный факт: в этом году боты и реальные пользователи достигли паритета. 50% всего трафика в интернете создан ботами. А теперь представьте, что по хорошему, трафик созданный ботами надо убирать из статистики отчётов, поскольку такой трафик не очень монетизируется, инвесторы не хотят за него платить. А в эпоху "до возможности вычислить бота", все цифры только росли. А тут херак и надо 50% отрубать к херам. Поэтому, это сделают только тогда, когда все те, кто зарабатывает на трафике смогут договорится о том, чтобы это было сделано одновременно и начать "новую жизнь" по новым правилам. А пока есть гонка за трафиком, все будут знать, кто что крутит, но молчать, иногда регулируя всех, чтобы сильно не барзели
 
Регистрация
04.09.2014
Сообщения
630
Благодарностей
907
Баллы
93

iscatel

Client
Регистрация
20.10.2018
Сообщения
58
Благодарностей
18
Баллы
8
Вопрос из разряда "Шапочки из фольги". Если в гугл таблице хранить мейлы, пароли и полные данные от гугл аккаунта. Гугл может их у себя помечать как ботов?
 
Регистрация
04.09.2014
Сообщения
630
Благодарностей
907
Баллы
93
Небольшой слив официальной доки, не скажу откуда, кусочками, будет интересно тем, кто в теме.

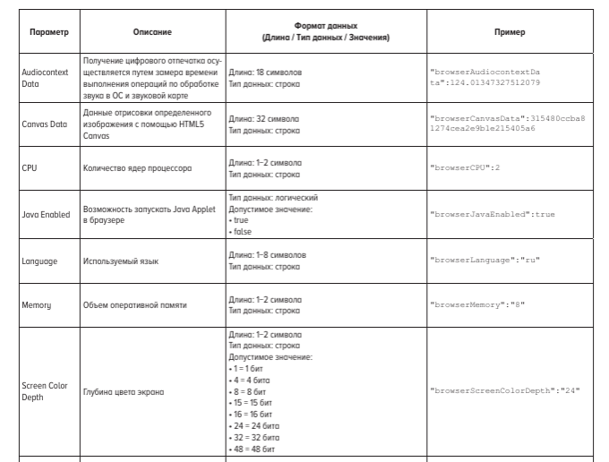
Цифровой отпечаток (Device Fingerprint) формируется с учетом таких параметров устройств, как идентификаторы аппаратной части, версия ОС, версия установленного на устройстве браузера и других системных и аппаратных параметров устройства. Основная сложность в формировании цифрового отпечатка состоит в поиске баланса между уникальностью цифрового отпечатка и частотой изменения параметров, которые применяются для его получения. Для получения цифрового отпечатка, позволяющего более точно идентифицировать устройство, целесообразно использовать комбинацию значений различных параметров, которые уникальны для каждого устройства, а также значения параметров, которые не являются уникальными по отдельности, но в совокупности с другими параметрами создают уникальные значения.
В связи с тем что возможны изменения параметров устройства, в том числе из-за регулярных обновлений браузера и / или ОС, организациям целесообразно сохранять время получения цифрового отпечатка устройства и исходные значения параметров устройства вместе с полученным на их основе цифровым отпечатком. Данный метод позволит организациям проводить более точный анализ цифрового отпечатка в дальнейшем, при выявлении и проведении расследования операций, соответствующих признакам осуществления [плохих дел] в без согласия клиента.

При определении параметров, которые необходимо получать для формирования цифрового отпечатка, учитывалось следующее:
• в ОС iOS строго ограничено количество версий устройств, размеров экрана, операционных систем. Унифицированные устройства одной и той же модели практически невозможно различить между собой. Уникальных параметров, подходящих для формирования цифрового отпечатка, немного. Методы по получению параметров для цифрового отпечатка меняются редко;
• в ОС Android исходный код открыт, из-за чего существует большое количество разных версий операционных систем, в том числе и неофициальных (измененные пользователями операционные системы, пользовательские сборки). Параметров для формирования цифрового отпечатка намного больше, чем на ОС iOS. Методы по получению параметров для формирования цифрового отпечатка меняются чаще, чем в ОС iOS;
• вне зависимости от используемой ОС при попытке запроса некоторых параметров есть вероятность получить нулевые, пустые значения;
• в разных версиях ОС при извлечении одного и того же параметра могут быть получены разные значения, при этом для получения данных в новых версиях ОС могут быть дополнительно запрошены разрешения со стороны пользователя приложения, что приводит к невозможности получения параметров;
• к изменению параметров устройства могут привести, например, смена используемого браузера, переустановка мобильного приложения, перезагрузка устройства, сброс устройства, обновление программного обеспечения устройства, смена сим-карты, комплектующих устройств;
• параметры для формирования цифрового отпечатка могут быть изменены, подделаны при помощи различных эмуляторов либо непосредственно пользователем. Часть параметров требует наличия у пользователя повышенных прав (Root, Jailbreak) для их изменения, другая часть параметров не требует при изменении привилегированных прав;
• из-за развития мобильных платформ и браузеров, изменения их настроек, изменения политик доступов состав параметров, необходимых для идентификации устройства, может меняться.
В этой связи в целях применения технологии цифрового отпечатка отбор параметров проводится с учетом следующих критериев:
• применяются параметры, являющиеся легкодоступными для их извлечения;
• применяются параметры, являющиеся наиболее сложными для изменения их значений пользователем;
• применяются параметры, являющиеся уникальными для конкретного устройства.

Рекомендуется применять следующий алгоритм формирования цифрового отпечатка с вычислением функции хэширования:
1 Приложение или веб-сайт организации проводит сбор данных с устройства пользователя на предмет общих, особых и уникальных параметров и настроек, а также сведений о конфигурации аппаратного обеспечения.
2 Собранная информация об устройстве объединяется в одну строку1 в заданном порядке2 в формате JSON. Полученная строка (исходные параметры) сохраняется отдельно в неизменном виде.
3 Строка с исходными параметрами, собранными в соответствии с пунктом 1 настоящего алгоритма и сохраненными согласно пункту 2 настоящего алгоритма, используется для передачи в организацию для последующего вычисления функции хэширования (преобразование исходной строки в строку фиксированной длины, состоящую из цифр и букв (далее – хэш) в соответствии с ГОСТ Р 34.11-2018 «Информационная технология. Криптографическая защита информации. Функция хэширования» с длиной хэш-кода 512 бит») и применения результата хэширования в качестве цифрового отпечатка устройства.
Цифровые отпечатки по точкам сбора можно разделить на два основных вида:
• цифровой отпечаток для браузера (Browser Fingerprint) (точка сбора − персональные компьютеры, мобильные устройства);
• цифровой отпечаток для мобильного приложения (Mobile Fingerprint) (точка сбора − мобильные устройства).

С учетом указанных в пункте 4.3 критериев в целях создания цифрового отпечатка при использовании браузера рекомендуется использовать параметры устройств, указанные в Таблице 1 Элементы параметров соответствуют определенному формату. При невозможности получения значения какого-либо параметра в значении указывается пустая строка в виде {«Имя_параметра»:»»}.

122590

122591

Аналогично цифровому отпечатку для браузера в целях создания цифрового отпечатка устройства в мобильном приложении рекомендуется использовать параметры устройств, указанные в Таблице 2 В ней отражены как универсальные параметры для всех платформ, так и дополнительные – в зависимости от ОС.

122592

122593

122594

122595

122596

Организациям рекомендуется вести базу эталонных цифровых отпечатков устройств пользователя и сохранять в ней:
• полученные цифровые отпечатки при выполнении операций пользователем вместе с данными по операциям;
• эталонные цифровые отпечатки в базе эталонных цифровых отпечатков устройств пользователя вместе с исходными значениями параметров устройства, использованными при формировании соответствующего цифрового отпечатка. Организациям при хранении цифровых отпечатков рекомендуется реализовывать следующие мероприятия:
• обеспечить связку с уникальным идентификатором клиента без привязки непосредственно к его персональным данным;
• сохранить дату сбора цифрового отпечатка, наименование (тип устройства) и процент совпадения сравниваемого цифрового отпечатка с эталонным;
• сохранить исходные параметры, на основании которых формировался цифровой отпечаток;
• сохранить историю цифрового отпечатка с признаками актуальности, которая учитывается при анализе или сравнении цифровых отпечатков.
Организациям рекомендуется хранить собранные цифровые отпечатки устройств вместе с набором параметров, на основе которых они сформированы, а также результаты сверки цифровых отпечатков с эталонными не менее 5 лет с момента их последнего использования.
Организациям рекомендуется вести базы цифровых отпечатков устройств, замеченных в мошеннических активностях (в том числе неоднократно задействованных при реализации компьютерных атак / инцидентов, а также связанных с вредоносным воздействием на узлы компьютерной сети (боты) и сетевыми атаками).

Собранные организациями по единым правилам цифровые отпечатки устройств пользователей рекомендуется применять
следующим образом.
При совершении операции по полученному от пользователя распоряжению выполняется сверка цифрового отпечатка устройства, с которого было получено распоряжение, с эталонным отпечатком для этого устройства (сверка хэшей). В случае если хэши совпадают, применение пользователем доверенного устройства считается подтвержденным. В случае несовпадения хэшей выполняется анализ совпадения параметров, из которых сформированы хэши (цифровые отпечатки). При проведении сверки параметров совпадением считается результат, при котором различие в значениях составляет не более 15% параметров при сравнивании эталонного отпечатка с направляемым, при этом организации вправе устанавливать внутренними документами иные пороговые значения, которые будут коррелировать, например, с датой внесения цифрового отпечатка в эталонную базу.
Процент совпадения используется организациями для качественной и количественной оценки, идентификации риска...

Дальше ссылки на законы и упоминание, что Красная армия всех сильней. Короче, не интересно.

Переходи на сторону добра. Тут нет спецов (ушли, сцуко, все через Верхний Ларс), а задачи ставят. Печеньками кормят. И что характерно, денег отсыпают больше, чем вы за все время общения с зенопостером заработали.
 
Последнее редактирование:

Monmakos

Новичок
Регистрация
11.05.2024
Сообщения
11
Благодарностей
0
Баллы
1
Насчет маков, на сегодня актуально? Дайте совет новичку, как втыкать прокси в каждое отдельное окно сафари, не могу найти плагин в сторе, а через настройки вставляется в общую точку и не могу понять как запускать браузеры на разных проксях. В ютюбе ничего не нашел.
 

Кто просматривает тему: (Всего: 1, Пользователи: 0, Гости: 1)